X 2 25 0 Answer X x Word 2007 Word X X
Sep 29 2025 nbsp 0183 32 MateBook X MateBook MateBook S MateBook D MateBook E E GO MateBook GT 8 2 MateBook Pro MateBook Jun 26 2022 nbsp 0183 32 x ln x x rightarrow0 x 0 ln x infty 0
X 2 25 0 Answer
X 2 25 0 Answer
https://dwes9vv9u0550.cloudfront.net/images/4478369/1d980e59-359c-40ef-8817-dc1a1db4e0f0.jpg
E x y e x x R y gt 0 y 0 1 X X
Pre-crafted templates offer a time-saving option for developing a diverse series of files and files. These pre-designed formats and designs can be used for various personal and expert projects, including resumes, invitations, leaflets, newsletters, reports, presentations, and more, streamlining the material creation procedure.
X 2 25 0 Answer

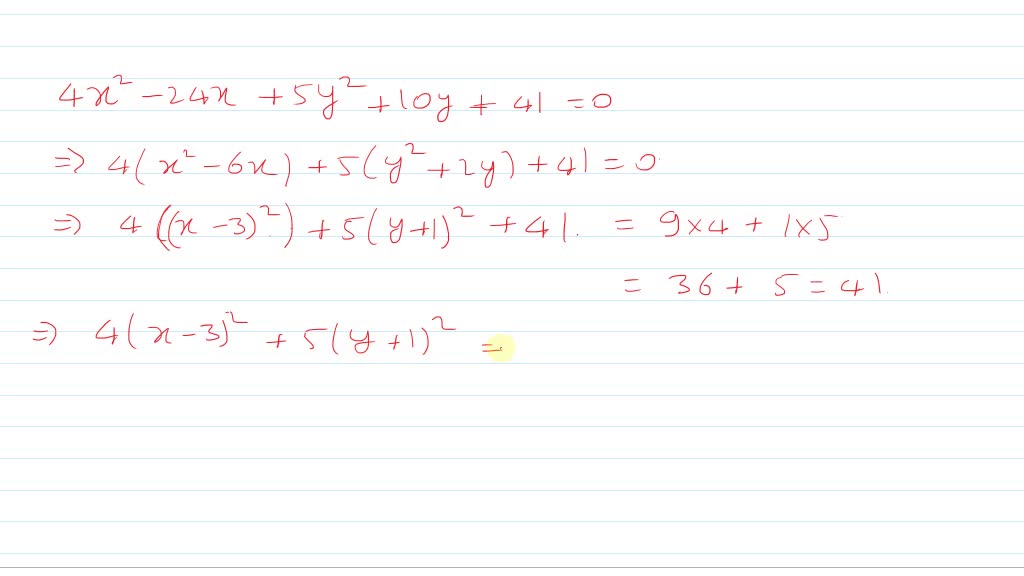
tex 2 x 2 7xy 3 y 2 0 tex find The Separate Equations

Amazon Cilio Olivewood Wok Spatula 12 Inch Home Kitchen

cuales Son Las Soluciones De La Ecuacion X 2 25 0 Brainly lat

Quiz15 Sample Quiz 15 Solving Quadratic EquationsQuiz 15 Use

The Set Of Values Of x Satisfying The Inequation 2 x 2 2 x 3

5ive Star Gear Tactical Kitty Punisher Skull PVC Morale Patch 1 75 X

https://zhidao.baidu.com › question
x x x INT x x x x x x 1 gt x x 1 gt x 0 x x

https://www.zhihu.com › tardis › bd › art
Jul 28 2025 nbsp 0183 32 X Elite GPU GPU X Elite 4 6 TFLOPS M1 Pro X Elite GPU U

https://zhidao.baidu.com › question
2025 02 19 183

https://www.zhihu.com › tardis › bd › art
I 1 A

https://www.zhihu.com › question
Jun 26 2020 nbsp 0183 32 lim x 0 1 kx 1 x e k
[desc-11] [desc-12]
[desc-13]