X 2 16 Solution X x Word 2007 Word X X
Sep 29 2025 nbsp 0183 32 MateBook X MateBook MateBook S MateBook D MateBook E E GO MateBook GT 8 2 MateBook Pro MateBook Jun 26 2022 nbsp 0183 32 x ln x x rightarrow0 x 0 ln x infty 0
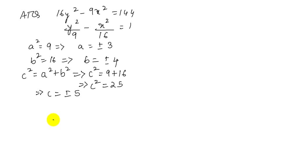
X 2 16 Solution
X 2 16 Solution
https://phandroid.com/wp-content/uploads/2022/01/Infinix-INBOOK-X2-16-1536x1024.jpg
E x y e x x R y gt 0 y 0 1 X X
Templates are pre-designed files or files that can be used for different functions. They can conserve time and effort by offering a ready-made format and design for producing different type of content. Templates can be used for individual or expert tasks, such as resumes, invitations, flyers, newsletters, reports, presentations, and more.
X 2 16 Solution

ML B2 16 3 90 Male Type B 2 16 Pin 90 3 0 Mm THTR At Reichelt

2 16 Techhub

2 16 Magnet Magazine

8 G NaOH Is Dissolved In One Litre Of Solution Its Molarity Is

Nuts And Bolts For FORZA Alu110 Socketed Goals FORZA Goal

Which Graph Shows The Solution Set Of The Inequality X 2 10x 16 x 3 0

https://zhidao.baidu.com › question
x x x INT x x x x x x 1 gt x x 1 gt x 0 x x

https://www.zhihu.com › tardis › bd › art
Jul 28 2025 nbsp 0183 32 X Elite GPU GPU X Elite 4 6 TFLOPS M1 Pro X Elite GPU U

https://zhidao.baidu.com › question
2025 02 19 183

https://www.zhihu.com › tardis › bd › art
I 1 A

https://www.zhihu.com › question
Jun 26 2020 nbsp 0183 32 lim x 0 1 kx 1 x e k
[desc-11] [desc-12]
[desc-13]