Solve Exact Answer X 4 2 25 Solve matlab matlab 009 solve weixin 3958964 Matlab solve
Aug 29 2015 nbsp 0183 32 solve resolve We have solved the problems in management We have resolved the problems in Solve resolve dissovle 1 solve It is so clever of you to have solved the puzzle
Solve Exact Answer X 4 2 25
Solve Exact Answer X 4 2 25
https://i.ytimg.com/vi/D2rj0wUPuHI/maxresdefault.jpg
Dec 21 2015 nbsp 0183 32 solve resolve address
Pre-crafted templates provide a time-saving solution for creating a varied range of documents and files. These pre-designed formats and designs can be utilized for different individual and expert tasks, including resumes, invitations, flyers, newsletters, reports, presentations, and more, simplifying the content development procedure.
Solve Exact Answer X 4 2 25

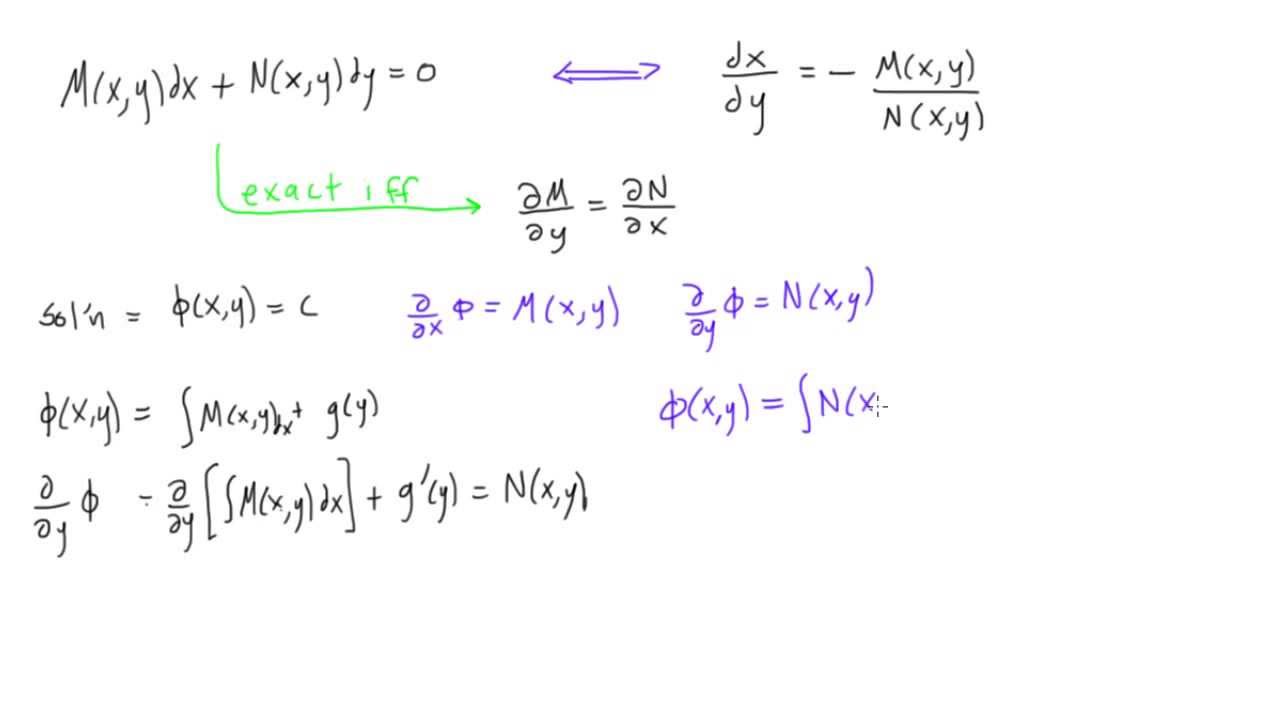
Solving An Exact Differential Equation YouTube

SOLVED Find All Local Maximum And Minimum Points x Y By The Method
Solved Question 14 Solve The Equation Find The Solution To Chegg
Solved Solve Each Equation For X Enter An Exact Answer a E2x 4

Solved Determine Whether The Given Differential Equation Is Chegg

SOLVED Use An Analytic Method To Solve Each Equation In Part a

https://zhidao.baidu.com › question
Solve resolve solve solve a problem solve a riddle solve an algebra problem resolve

https://zhidao.baidu.com › question
2 solve the problem problem 1 address

https://zhidao.baidu.com › question
Sep 26 2024 nbsp 0183 32 resolve solve resolve
https://zhidao.baidu.com › question
Aug 11 2025 nbsp 0183 32 mathcad solveMathcad Solve Solve Solve Mathcad Solve

https://zhidao.baidu.com › question
Dec 20 2024 nbsp 0183 32 1 fundamentally solve the problem 2 a thorough solution to the problem 3 thoroughly solve the problem 4 settle an
[desc-11] [desc-12]
[desc-13]