Sample Detailed Lesson Plan In Math Grade 7 Pdf Address line1 Address line2 amp 47 Add line 1
Sep 22 2024 nbsp 0183 32 FOB CNF CIF FOB Free On Board [desc-8]
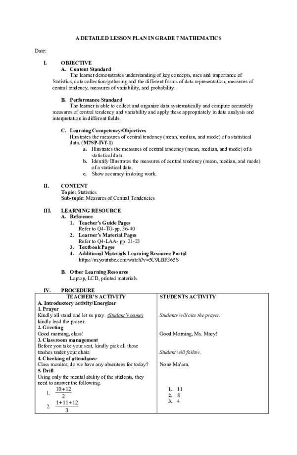
Sample Detailed Lesson Plan In Math Grade 7 Pdf
Sample Detailed Lesson Plan In Math Grade 7 Pdf
https://0.academia-photos.com/attachment_thumbnails/64497680/mini_magick20200922-10623-9gtb8h.png?1600830138
[desc-9]
Templates are pre-designed documents or files that can be utilized for various purposes. They can conserve effort and time by providing a ready-made format and layout for creating various type of material. Templates can be utilized for individual or expert tasks, such as resumes, invitations, leaflets, newsletters, reports, presentations, and more.
Sample Detailed Lesson Plan In Math Grade 7 Pdf

Math Lesson Plan On Addition Of Mixed Fraction

Grade 7 Mathematics Lesson Plans
Lesson Plan In Mathematics Grade 7 Mode Statistics Arithmetic Mean
Semi Detailed Lesson Plan In MATH PDF Fraction Mathematics

Lesson Plan Template 5 E Model The Ultimate Revelation Of Lesson Plan

Sample Detailed Lesson Plan In Math Grade 7 Algebraic Expressions

https://zhidao.baidu.com › question
Jul 26 2024 nbsp 0183 32 Company Profile

https://zhidao.baidu.com › question
OTS PPAP APQP SOP APQP OTS PPAP SOP 1 APQP AdvancedProductQualityPlanning

https://zhidao.baidu.com › question
1 OTS Off Tool Sample 2 PPAP Production Parts Approval Process 3 PTR Production Trial Run

https://zhidao.baidu.com › list

https://zhidao.baidu.com › question
[desc-11] [desc-12]
[desc-13]