How Many 30 Subnets In A 24 Sell more engage better and grow your audience with powerful automations for Instagram WhatsApp TikTok and Messenger
Jul 28 2025 nbsp 0183 32 Many is used only with the plural of countable nouns except in the combination many a Its counterpart used with uncountable nouns is much Many and much merge in the Many transcription translation and pronunciation online Transcription and pronunciation of the word quot many quot in British and American variants Detailed translation and examples
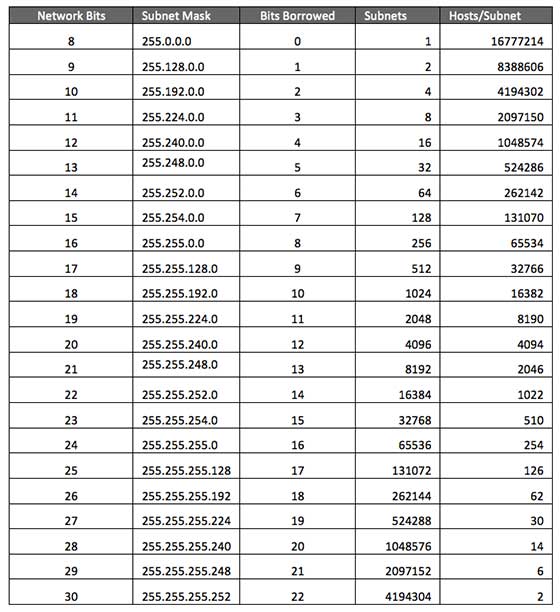
How Many 30 Subnets In A 24
How Many 30 Subnets In A 24
https://i.stack.imgur.com/wHlF8.png
Oct 25 2023 nbsp 0183 32 Many liters of water are needed to fill the swimming pool Many varieties of tea are sold at the shop from green tea to black tea In conclusion the difference between much and
Templates are pre-designed files or files that can be used for different purposes. They can save time and effort by offering a ready-made format and design for creating different sort of material. Templates can be utilized for personal or expert jobs, such as resumes, invitations, leaflets, newsletters, reports, discussions, and more.
How Many 30 Subnets In A 24

Confucius Say Cisco Stuff Hard Subnetting Harder May 2012

Subnetting You Know The World

Cingsko4 Flashcards Quizlet

Subnetting Example With A 16 Prefix NetworkUstad
Solved Two Subnets In One VLAN Cisco Community

Number Of Subnets In This Network Server Fault

https://dictionary.cambridge.org › dictionary › english › many
MANY definition 1 used mainly in negative sentences and questions and with quot too quot quot so quot and quot as quot to mean quot a large Learn more

https://www.collinsdictionary.com › dictionary › english › many
4 meanings 1 a a large number of b as pronoun functioning as plural 2 each of a considerable number of 3 a a great Click for more definitions

https://www.definitions.net › definition › many
Definition of many in the Definitions dictionary Meaning of many What does many mean Information and translations of many in the most comprehensive dictionary definitions resource

https://dictionary.cambridge.org › grammar › british...
Much many a lot of lots of quantifiers English Grammar Today a reference to written and spoken English grammar and usage Cambridge Dictionary

https://manybooks.net
Great selection of modern and classic books waiting to be discovered All free and available in most ereader formats
[desc-11] [desc-12]
[desc-13]