Duty Hour Rules YouTube quot quot
Google YouTube Google YouTube Shorts YouTube YouTube
Duty Hour Rules
Duty Hour Rules
https://i1.rgstatic.net/publication/51799122_Implications_of_the_2011_ACGME_duty_hour_rules/links/5908bd84a6fdcc496164dec5/largepreview.png
YouTube YouTube
Templates are pre-designed documents or files that can be used for numerous functions. They can save effort and time by offering a ready-made format and layout for creating various sort of content. Templates can be utilized for personal or expert projects, such as resumes, invitations, leaflets, newsletters, reports, presentations, and more.
Duty Hour Rules

ACGME Duty Hour Rules In The Medical Residency Scheduling Tool By H2 O2

Rules Free Of Charge Creative Commons Handwriting Image

Are Duty Hour Restrictions Are Preparing Trainees For The Real world

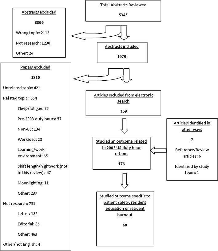
Patient Safety Resident Education And Resident Well Being Following

PPT Handoffs Signouts PowerPoint Presentation Free Download ID

BCEGS Because Rules Are There For A Reason WSRB Blog

https://support.google.com › youtube › answer
YouTube 2009 Google Google

https://support.google.com › youtube › answer
YouTube Google YouTube

https://support.google.com › youtube
YouTube

https://support.google.com › youtube › answer
YouTube YouTube

https://support.google.com › youtube › answer
YouTube Premium YouTube
[desc-11] [desc-12]
[desc-13]