Disciplinary Action Unsatisfactory Job Performance Jun 21 2021 nbsp 0183 32 2 80 800464XXXX 803003XXXX
goo Q amp A 4000 Jan 14 2020 nbsp 0183 32 184
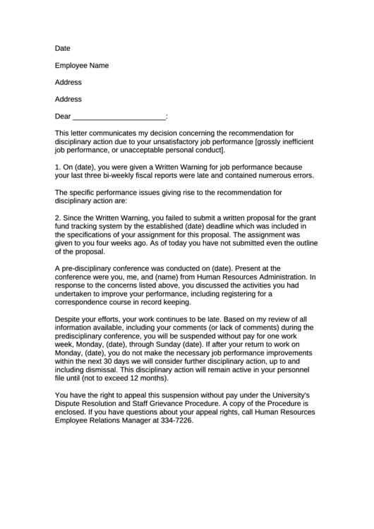
Disciplinary Action Unsatisfactory Job Performance
Disciplinary Action Unsatisfactory Job Performance
https://ubsapp.com/wp-content/uploads/2022/03/Poor-Performance-Warning-Letter-Format-788x1024.jpg
Nov 26 2020 nbsp 0183 32 URL Word https
Templates are pre-designed files or files that can be utilized for various functions. They can conserve time and effort by offering a ready-made format and layout for producing different type of content. Templates can be utilized for individual or professional tasks, such as resumes, invitations, flyers, newsletters, reports, presentations, and more.
Disciplinary Action Unsatisfactory Job Performance

16 Warning Letters Sample Templates

PPT Discipline Flow Chart PowerPoint Presentation Free Download ID

Warning Letter To Employee For Not Responding Infoupdate

Disciplinary Process Human Resources Strategic Talent Management UMBC

Employee Performance Scorecard Template Excel

Poor Performance Warning Letter Tips Format And Example

https://detail.chiebukuro.yahoo.co.jp › qa › question_detail
Feb 12 2022 nbsp 0183 32 4 43 1

https://detail.chiebukuro.yahoo.co.jp › qa › question_detail
Apr 11 2016 nbsp 0183 32 A
:max_bytes(150000):strip_icc()/1917915v1-5ba4c74a46e0fb0025f9e416.png?w=186)
https://detail.chiebukuro.yahoo.co.jp › qa › question_detail
Aug 15 2019 nbsp 0183 32 42 10 10 057

https://detail.chiebukuro.yahoo.co.jp › qa › question_detail
Feb 17 2012 nbsp 0183 32 EXCEL

https://detail.chiebukuro.yahoo.co.jp › qa › question_detail
Sep 9 2019 nbsp 0183 32 870 10
[desc-11] [desc-12]
[desc-13]