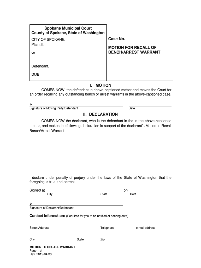
Can You Get A Warrant For Not Going To Small Claims Court Illinois Nov 17 2019 nbsp 0183 32 If you miss a small claims hearing you may have a default judgment against you But there won t be an arrest warrant You may want to contact the court to request another
Jul 21 2014 nbsp 0183 32 Small claims court is for civil disputes not criminal disputes Not showing up for a civil case merely means that the punishment is that you lose the case amp a judgment can be Mar 26 2018 nbsp 0183 32 Small claims is CIVIL court where money damages are sought It is NOT criminal court She will not go to jail for missing court BUT she could find herself with a judgement for
Can You Get A Warrant For Not Going To Small Claims Court Illinois
Can You Get A Warrant For Not Going To Small Claims Court Illinois
https://www.thedemandletters.com/wp-content/uploads/2021/04/Small-Claims-Demand-Letter-Template.png
Generally warrants are reserved for criminal matters not civil ones If you don t show up for court the judge can make a default ruling against you If both you the person suing you do not turn
Templates are pre-designed documents or files that can be used for different functions. They can conserve effort and time by providing a ready-made format and design for producing different type of content. Templates can be utilized for personal or expert projects, such as resumes, invites, flyers, newsletters, reports, discussions, and more.
Can You Get A Warrant For Not Going To Small Claims Court Illinois

Free Small Claims Demand Letter PDF Word EForms

Car Accident Demand Letter Example

Small Claims Demand Letter Free Template

Step by Step Process For Small Claims In Ontario 8 STEPS

Small Claims Court A Complete Guide LPEN

Peerless Info About How To Check Arrest Warrants Pricelunch34

https://legalclarity.org › can-you-go-to-jail-for...
Jan 10 2025 nbsp 0183 32 Missing a court appearance can result in more than a default judgment In some jurisdictions judges may issue bench warrants for individuals who fail to appear particularly if

https://www.profitableventure.com › get-warrant-small-claims-court
No since small claims court is a civil court and not a criminal court you won t get an arrest warrant for not going to a small court Instead the Plaintiff can ask for a default judgment

https://www.uswarrants.org › articles › small-claims-court-warrants
Can You Get A Warrant For Not Going To Small Claims Court The answer to this question is complex While it is unlikely that a warrant will be issued for failure to appear in small claims

https://ask-a-lawyer.lawyers.com › bankruptcy › can-a...
Mar 17 2014 nbsp 0183 32 You can have a bench warrant issued for not showing up Sometimes they give you one more chance to appear before issuing the warrant Law enforcement won t actively go

https://www.justanswer.com › criminal-law
Small claims is considered to be civil court which means there is not a potential risk of jail time That means that a bench warrant should not be issued based on your failure to appear or a
For small claims court you usually do not have to file an answer but you should still file an appearance In Madison County you will need to file a written response to the Complaint If What can I get in Small Claims Court o Small Claims judges can order a judgment only for money o The judge cannot require a person or business to do something or stop doing
When it comes to disputes involving money you can usually file in small claims court based on any legal theory that would be allowed in any other court for example breach of contract