Calculation Of Mean Grouped Data Dec 8 2023 nbsp 0183 32 While pursuing a bachelor s degree in psychology at Harvard University from 1999 to 2003 Portman performed in the Star Wars prequel trilogy 2002 2005 and The Public
Jun 1 2020 nbsp 0183 32 Quiz Natalie Portman Retrouvez une des meilleures actrices du monde du cin 233 ma Q1 Quand est elle n 233 e 9 juin 1981 10 juin 1981 8 juin 1981 11 juin 1981 Is That Natalie Portman Who Did Natalie Portman Play Play Natalie Portman quizzes on Sporcle the world s largest quiz community There s a Natalie Portman quiz for everyone
Calculation Of Mean Grouped Data
Calculation Of Mean Grouped Data
https://3.bp.blogspot.com/-ZlD5CK_bxkM/U4Yqq8WNsUI/AAAAAAAAAZ4/UqYTXFm1jUw/s1600/Untitled-28.jpg
1 Where was Natalie Portman born 2 Where was Natalie raised 3 When was her first professional acting job 4 What did she study at Harvard
Templates are pre-designed files or files that can be used for different purposes. They can save effort and time by offering a ready-made format and design for producing various sort of material. Templates can be used for individual or expert tasks, such as resumes, invites, leaflets, newsletters, reports, presentations, and more.
Calculation Of Mean Grouped Data

How To Calculate Mean Grouped Data Haiper

Mean Ungrouped Data Formula How To Calculate Mean Deviation About

How To Calculate Median For Grouped Data Haiper

How To Calculate Median For Grouped Data Haiper

How Do You Find The Mean Of A Grouped Frequency Table Brokeasshome

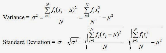
Introduction To Statistics Calculation Of Variance And Standard

https://www.proprofs.com › quiz-school › story.php
May 21 2025 nbsp 0183 32 Natalie Portman is a beautiful American actress who played in famous movies such as a Leon Star Wars Black Swan and The Other Boleyn Girl

https://www.funtrivia.com › trivia-quiz › Movies
3 days ago nbsp 0183 32 This is a quiz to pay tribute to one of my favorite actresses A few questions are about Natalies personal life but most are about movies in which she has appeared

https://go4quiz.com › natalie-portman-quiz
Jun 28 2024 nbsp 0183 32 Click here for answers 1 What was Natalie Portman s debut film role released in 1994 d Mars Attacks 2 In which Star Wars film trilogy did Natalie Portman play Padm 233

https://kupidonia.com › quiz › quiz-natalie-portman
Natalie Portman Quiz questions and answers Free online printable quiz with multiple choice questions MCQ without registration PDF download

https://www.jetpunk.com › quizzes › natalie-portman-movies-quiz
Dec 17 2019 nbsp 0183 32 Norse God must find his mojo with the help of an attractive astrophysicist Name these movies that starred Natalie Portman
[desc-11] [desc-12]
[desc-13]