Basis Salary Schedule Web Jul 13 2021 nbsp 0183 32 1 Weekly payroll schedule 2 Biweekly payroll schedule 3 Semimonthly payroll schedule 4 Monthly payroll schedule 5 Multiple payroll schedules MORE LIKE THIS Small Business A
Web Feb 13 2024 nbsp 0183 32 To be precise employees under the bi weekly payschedule are paid 26 times in a year whereas employees under the semi monthly payschedule are paid 24 times in a year Here are some of the benefits and downsides of using bi weekly and semi monthly pay schedules for calculating payroll so you can make an informed decision on which is right Web While workers appreciate getting paid more frequently employers must also consider the expenses associated with the four common types of pay schedules weekly biweekly semi monthly and monthly Higher pay frequencies tend to incur more expenses and accounting oversight Weekly Pay
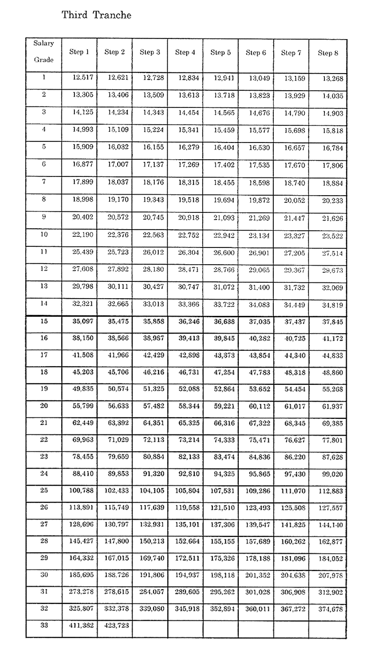
Basis Salary Schedule
Basis Salary Schedule
https://i.ytimg.com/vi/8-OHwYSJc7s/maxresdefault.jpg
Web Nov 13 2020 nbsp 0183 32 A weekly payroll schedule requires that you pay employees once per week or 52 times per year A typical weekly pay period is 40 hours This pay frequency works well for businesses with mostly hourly employees Pros of weekly payroll Employees enjoy getting paid every week
Templates are pre-designed files or files that can be used for different functions. They can save effort and time by supplying a ready-made format and design for producing different type of material. Templates can be used for personal or expert tasks, such as resumes, invitations, leaflets, newsletters, reports, discussions, and more.
Basis Salary Schedule

Consent To Deduction One Day Salary For Building Of Diamer Basha And

Salary Range Calculator OFFICETEMPLATES NET

Oromia Bank OB Invites Qualified Candidates For The Following Banking

Lumsdaine Behopentrib

Free Financial Analyst Job Description Template Sample PDF Word

SAP Basis Salary Actual 2022 Projected 2023 VelvetJobs

https://www.deel.com/blog/how-to-choose-payroll-schedule
Web Mar 8 2022 nbsp 0183 32 Key takeaways A payroll schedule is the frequency with which employees are paid Weekly biweekly semi monthly and monthly pay schedules are the most common International payroll laws impact the payroll schedule and should be considered if you have employees in multiple countries

https://www.forbes.com/advisor/business/payroll-calendar
Web Jul 21 2023 nbsp 0183 32 A weekly payroll calendar is where you pay your employees each week This means they ll get paid 52 times per year While you can choose when your workers receive their paychecks most employers

https://letsledger.com/blog/taxes/reconciling-k-1-income
Web Dec 29 2021 10 mins Hernan Barona K 1 Income And Calculating Tax Basis At the start of the year business owners are issued Schedule K 1 income earned from a partnership or S Corporation In this guide we will navigate you through how to figure out your K 1 basis for tax reporting In this article What is a Schedule K 1

https://traqq.com/blog/what-is-base-salary
Web Sep 20 2023 nbsp 0183 32 Employee Management Tips Sep 20 2023 By Natallia Slimani Base salary is a fundamental component of compensation that forms the core of an employee s earnings It serves as the fixed amount an employee receives

https://www.business.org/.../choosing-a-pay-schedule
Web Aug 1 2019 nbsp 0183 32 In some states you can choose what type of payroll schedule you want weekly biweekly semimonthly yes those last two are different we ll break that down later or monthly Most notably Alabama and South Carolina don t have any regulations on how often employers must pay their employees
Web Basis for Salary Schedules Administrative salary schedules are based on an appropriate relationship between the number of days of work required by each position Web How much does BASIS ed in the United States pay Average BASIS ed hourly pay ranges from approximately 12 00 per hour for Project Intern to 40 00 per hour for School Teacher Salary information comes from 1 656 data points collected directly from employees users and past and present job advertisements on Indeed in the past 36 months
Web 5 days ago nbsp 0183 32 Let s break down four types of pay schedules 1 Monthly pay periods Employees on monthly pay schedules get paid once per month typically at the beginning or end of the month According to the Bureau of Labor Statistics this is the least common frequency of pay period in the U S