Y 3 X 5 X 2 Answer d x y 0 x y d x y d y x d x z d x y d y z
F A C D Y S Jul 28 2019 nbsp 0183 32 y yearn yellow yen yesterday yoga you young yacht n yak yam n yangtze n
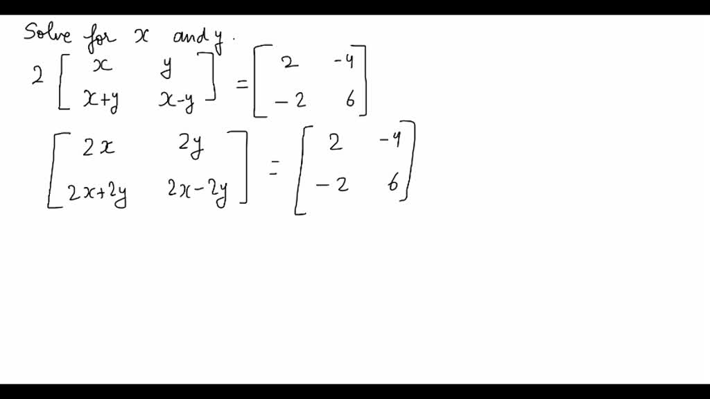
Y 3 X 5 X 2 Answer
Y 3 X 5 X 2 Answer
https://hi-static.z-dn.net/files/d64/09961df2200ff42ec31fe5079a02d436.jpg
Y e x x R y gt 0 y 0 1 X X 1
Pre-crafted templates offer a time-saving option for developing a diverse range of files and files. These pre-designed formats and layouts can be used for different personal and expert projects, including resumes, invites, leaflets, newsletters, reports, presentations, and more, streamlining the content creation procedure.
Y 3 X 5 X 2 Answer

How Do You Solve 5 x 2 4 2 x 2 x 2 Socratic

POLS159 Problem 3 Huge Value 8x 4x 1 3 3x 4x

How To Solve X 2 3x 2 0 By Factoring YouTube

Solved The Region Bounded By x y 4 And x 5 y 1 2 9to5Science

Solved Solve The Equation Check Your Answers X 3 8 X 4 Chegg

2 5 Quiz 4 Questions Linear Graphs OCR GCSE Maths Higher Elevise

https://www.zhihu.com
2011 1

https://zhidao.baidu.com › question
Mar 27 2025 nbsp 0183 32 https flingtrainer

https://zhidao.baidu.com › question
Jun 6 2025 nbsp 0183 32 https mail google

https://www.zhihu.com › question
Jun 6 2011 nbsp 0183 32 y y hat y y y bar y y y dot y y y

https://www.zhihu.com › selection
[desc-11] [desc-12]
[desc-13]