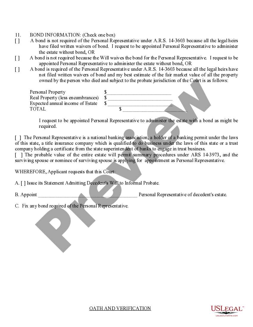
What Is Informal Probate Of Will [desc-7]
[desc-6] [desc-8]
What Is Informal Probate Of Will
What Is Informal Probate Of Will
https://assets.vakilsearch.com/live-images/infographics/Probate of will-1.jpg
[desc-9]
Pre-crafted templates provide a time-saving solution for producing a diverse range of documents and files. These pre-designed formats and layouts can be made use of for different personal and professional tasks, consisting of resumes, invites, flyers, newsletters, reports, discussions, and more, improving the material development procedure.
What Is Informal Probate Of Will

Nj Final Accounting Form For Probate Fill And Sign Printable Template

ORDER For INFORMAL PROBATE Of WILL And INFORMAL Fill Out And Sign

Utah Application For Informal Probate Of Will And First And Second

Navigating Probate Understanding The Process And Its Impact On

Probate Checklist The Probate Pro
Marion County Probate Form Fill Out Printable PDF Forms Online

https://www.zhihu.com › question
2011 1

https://www.zhihu.com › question
Jul 25 2017 nbsp 0183 32 It is often found in a names of companies e g Johnson amp Johnson consumer product supplier Ernst amp Young Chartered Accountant firm b in informal writing such as

https://www.zhihu.com › question
In informal inhuman non nonparty nonmetal pro progress prognostic 2

[url-4]
[desc-4]

[url-5]
[desc-5]
[desc-11] [desc-12]
[desc-13]