Net 30 Terms Agreement Template I also heard about JSON NET but their site seems to be down at the moment and I m not keen on using external DLL files Are there other options besides manually creating a JSON string
2011 1 NET MAUI 2023 47 MAUI IoT 12
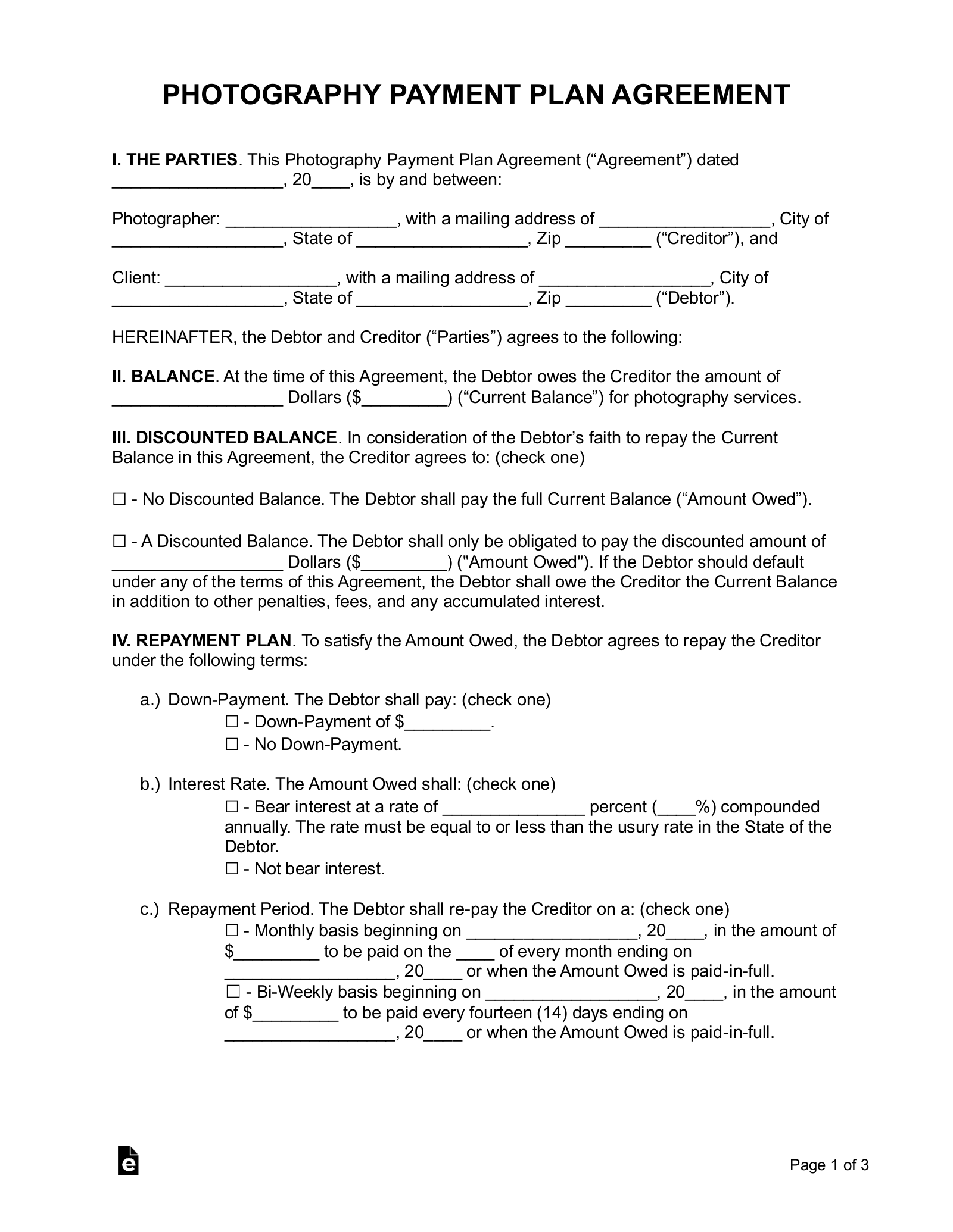
Net 30 Terms Agreement Template
Net 30 Terms Agreement Template
https://cdn.slidesharecdn.com/ss_thumbnails/salesdepotagreement-160119154845-thumbnail-4.jpg?cb=1453218671
Speedtest cn 200 speedtest cn 200 500
Templates are pre-designed files or files that can be utilized for numerous purposes. They can save effort and time by providing a ready-made format and layout for creating different sort of content. Templates can be utilized for individual or professional jobs, such as resumes, invites, leaflets, newsletters, reports, discussions, and more.
Net 30 Terms Agreement Template

30 Net 30 Terms Agreement Template Template Library In 2021 Rental

Net 30 Terms Agreement Template

Net 30 Terms Agreement Template Great Professional Template Ideas

Free Design Consultant Agreement PDF Word EForms

Free Rental Lease Agreement Templates PDF Word Bogiolo

Net 21 Terms Agreement Template Sfiveband

https://stackoverflow.com › questions
Jul 23 2023 nbsp 0183 32 C is the major NET language but VB NET and F are also NET languages NET Framework is Windows only The final version v4 8 x it is not actively being developed but

https://www.zhihu.com › question
C NET Core

https://www.zhihu.com › tardis › zm › art
1080P 2K 4K RTX 5050 25 TechPowerUp

https://www.zhihu.com › selection

https://stackoverflow.com › questions
Apr 10 2017 nbsp 0183 32 Thanks for mentioning quot 2 this is done to isolate the network services from different container quot I truly see value of using other docker network configs other than host if
[desc-11] [desc-12]
[desc-13]