How To Write A Book Report 7th Grade Downs Superfoods proudly serves the Downs KS area Come in for the best grocery experience in town We re open Temporary HoursSunday11 00AM 5 00PM Monday Saturday7 30AM
Downs Superfoods proudly serves the Downs KS area Come in for the best grocery experience in town We re open Temporary HoursSunday11 00AM 5 00PM Monday Saturday7 30AM Downs Superfoods proudly serves the Downs KS area Come in for the best grocery experience in town We re open Temporary HoursSunday11 00AM 5 00PM Monday Saturday7 30AM
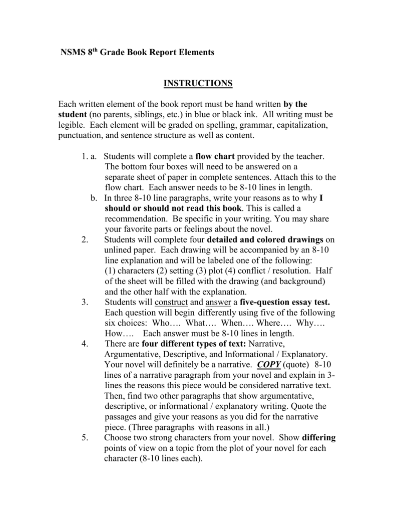
How To Write A Book Report 7th Grade
How To Write A Book Report 7th Grade
https://images.template.net/wp-content/uploads/2016/11/17130340/7th-and-8th-Grade-Book-Report-Format.jpg
Downs Superfoods proudly serves the Downs KS area Come in for the best grocery experience in town We re open Temporary HoursSunday11 00AM 5 00PM Monday Saturday7 30AM
Pre-crafted templates provide a time-saving option for producing a diverse variety of documents and files. These pre-designed formats and designs can be made use of for numerous individual and professional jobs, consisting of resumes, invitations, leaflets, newsletters, reports, presentations, and more, enhancing the content development procedure.
How To Write A Book Report 7th Grade

Book Report Template 7th Grade Pdf 7 TEMPLATES EXAMPLE TEMPLATES

Top 7th Grade Book Report Templates Free To Download In PDF Format

Book Report Worksheets One Page Book Report Worksheet Book Report

Book Report Template 5Th Grade Professional Template

6 Book Report Format 6th Grade Types Of Letter Book Report

Book Report Template 7th Grade 3 TEMPLATES EXAMPLE TEMPLATES

https://downssuperfoods.com
Get lunch box ready with quality kid friendly foods Stop by and stock up Celebrate the outdoors We have all your picnic and BBQ favorites Save money on produce while serving up the best
https://www.downssuperfoods.com › about
We are your local community connection for high quality foods friendly service and great prices Our family owned store offers a convenient one stop shop where you can find everything you

https://downssuperfoods.com › location
Downs Superfoods proudly serves the Downs KS area Come in for the best grocery experience in town We re open Temporary HoursSunday11 00AM 5 00PM Monday Saturday7 30AM

https://downssuperfoods.com › app
Downs Superfoods proudly serves the Downs KS area Come in for the best grocery experience in town We re open Temporary HoursSunday11 00AM 5 00PM Monday Saturday7 30AM

https://www.downssuperfoods.com › shopping_list
Downs Superfoods proudly serves the Downs KS area Come in for the best grocery experience in town We re open Temporary HoursSunday11 00AM 5 00PM Monday Saturday7 30AM
[desc-11] [desc-12]
[desc-13]