How To Make A County Court Claim To make your formula more readable you could assign a Name to cell A0 and then use that name in the formula The easiest way to define a Name is to highlight the cell or range then
Mar 19 2019 nbsp 0183 32 Make sure to run pip3 for python3 7 pip3 freeze gt gt yourfile txt Before executing the above command make sure you have created a virtual environment python3 pip3 install Oct 27 2009 nbsp 0183 32 Note that it is good practice not to make changes to your local master develop branch but instead checkout to another branch for any change with the branch name
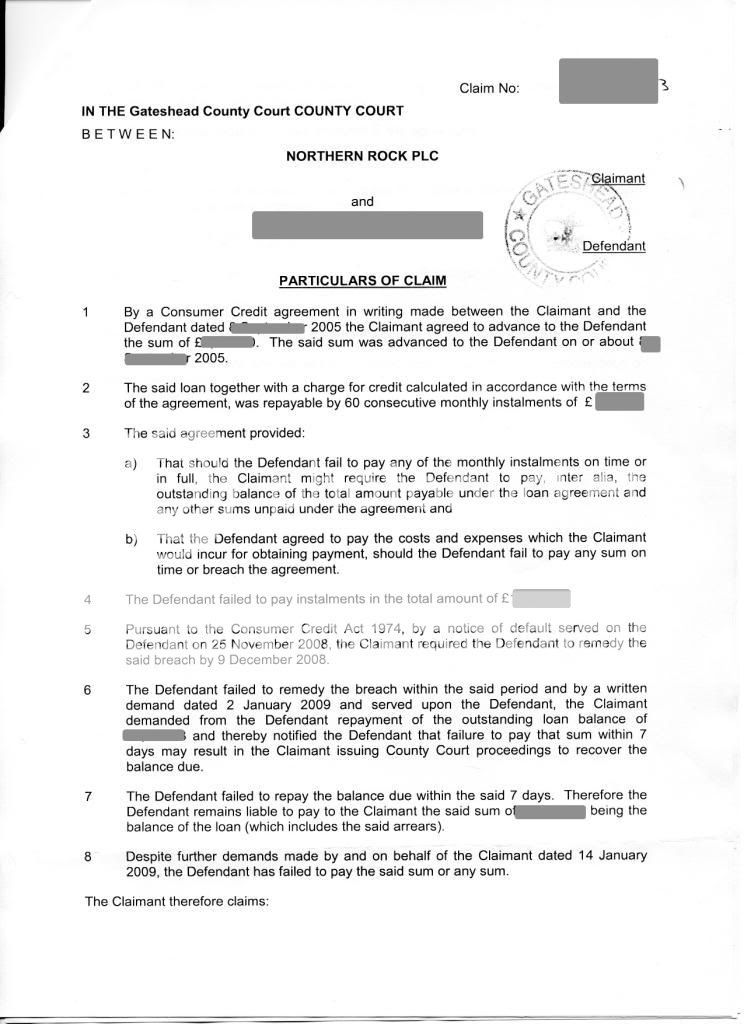
How To Make A County Court Claim
How To Make A County Court Claim
http://i404.photobucket.com/albums/pp128/starbar_photo/NRCCForm002a.jpg
Dec 3 2016 nbsp 0183 32 A list of lists named xss can be flattened using a nested list comprehension flat list x for xs in xss for x in xs
Pre-crafted templates offer a time-saving service for producing a varied series of files and files. These pre-designed formats and designs can be utilized for different individual and expert jobs, including resumes, invitations, flyers, newsletters, reports, discussions, and more, streamlining the material creation procedure.
How To Make A County Court Claim

County Court Claims Form Defence Template MoneySavingExpert Forum

Particulars OF Claim 1 PARTICULARS OF CLAIM In The County Court

Firstbus Particulars Of Claim

GA Statement Of Claim Hall County Complete Legal Document Online

Small Claims Court Forms Palm Beach County Florida Form Resume

How To File Small Claims Court In Texas Asbakku

https://stackoverflow.com › questions
Jan 6 2019 nbsp 0183 32 Running make with the following Makefile will sleep for 3 seconds and then exit a shell sleep 3 In the former Makefile a is not evaluated until it s used elsewhere in the

https://stackoverflow.com › questions
Sep 26 2022 nbsp 0183 32 Assume your make executable is located in C Program Files x86 GnuWin32 bin make Before you add the path you need to call C Program Files

https://stackoverflow.com › questions
Make prints text on its stdout as a side effect of the expansion The expansion of info though is empty You can think of it like echo but importantly it doesn t use the shell so you don t have

https://www.zhihu.com › question
Jul 2 2018 nbsp 0183 32 make sb do sth quot do sth quot to make sb do sth make sb to do sth make sb do sth make sb do sth

https://stackoverflow.com › questions
Sep 7 2019 nbsp 0183 32 To make it private Click the button labeled quot Make Private quot and follow the instructions To
[desc-11] [desc-12]
[desc-13]