How To File A Claim In The County Court Please save it as a file preferably named picture png quot Content Type image png Content Disposition inline filename quot picture png quot Means quot This is a PNG image Please display it
If the above doesn t work various projects have been added the following class ClassLoaderUtil 1 code here 2 If the file is changed on remote conflict will occur when git pull Stash won t work To resolve it copy the file content to the safe place and follow these steps git update index no skip
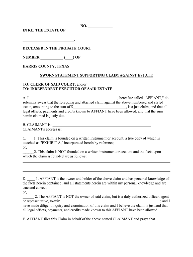
How To File A Claim In The County Court
How To File A Claim In The County Court
https://sfvbareferral.com/wp-content/uploads/2016/07/Small-Claims-Court-Timeline-654x1500.png
Jun 19 2018 nbsp 0183 32 Imagine that in order to read or create a CSV file you had to install Hadoop HDFS Hive and configure them Luckily there are other solutions To create your own parquet files In
Templates are pre-designed documents or files that can be used for different functions. They can save effort and time by offering a ready-made format and layout for producing various kinds of material. Templates can be used for personal or professional projects, such as resumes, invites, leaflets, newsletters, reports, discussions, and more.
How To File A Claim In The County Court

Medical Claim Form Template PDF Template

Particulars OF Claim And PLEA Assignment2 IN THE HIGH COURT OF SOUTH

49 Free Claim Letter Przyk ady jak Napisa Claim Letter Tech Blog

Filing A Small Claims Case In Massachusetts

Petition Oral Form Fill Out And Sign Printable PDF Template SignNow

49 Free Claim Letter Examples How To Write A Claim Letter

https://superuser.com › questions
When I try to execute my PowerShell script I get this error File C Common Scripts hello ps1 cannot be loaded because the execution of scripts is disabled on this system Please see quot get

https://stackoverflow.com › questions
Jan 15 2014 nbsp 0183 32 The openssl documentation says that file supplied as the in argument must be in PEM format Turns out that contrary to the CA s manual the certificate returned by the CA

https://stackoverflow.com › questions
Information on find links from command pip help install f find links lt url gt If a url or path to an html file then parse for links to archives If a local path or file url that s a directory then look

https://stackoverflow.com › questions
Mar 19 2019 nbsp 0183 32 If your file is in ipynb format you can convert it to py type by using the line of code below jupyter nbconvert to python Then you need to install pipreqs library from cmd

https://stackoverflow.com › questions
Jun 6 2013 nbsp 0183 32 How do I find all files containing a specific string of text within their file contents The following doesn t work It seems to display every single file in the system find type f exec
[desc-11] [desc-12]
[desc-13]