How To Apply For Maternity Leave In California Oct 12 2017 nbsp 0183 32 git stash Saved working directory and index state quot WIP on master 049d078 added the index file quot HEAD is now at 049d078 added the index file To restore them type quot git
Dec 28 2019 nbsp 0183 32 Importar o m 243 dulo localize Para n 227 o ter que usar apply lambda em todo lugar voc 234 pode usar o m 243 dulo padr 227 o import localize que formata n 250 meros e datas para o idioma Apr 23 2019 nbsp 0183 32 eu estou dizem para o R aplicar apply a fun 231 227 o as numeric nas colunas n 250 mero 2 do data frame dadosarrumados c 4 5 Se eu tivesse utilizado 1 em vez de 2 no segundo
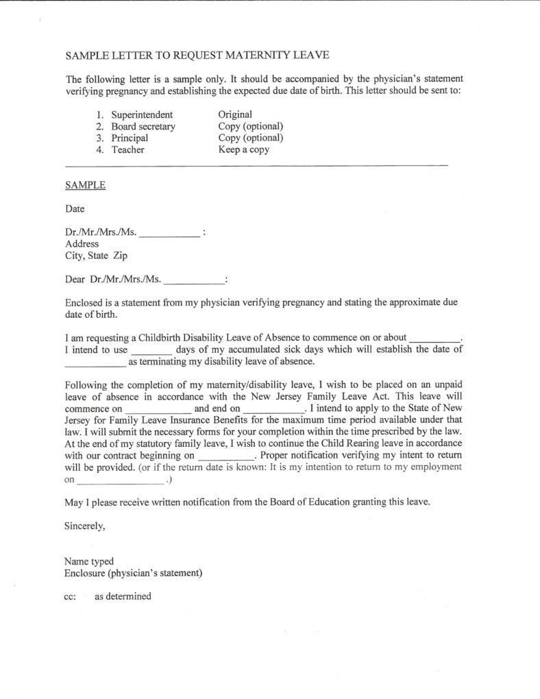
How To Apply For Maternity Leave In California
How To Apply For Maternity Leave In California
https://sa.kapamilya.com/absnews/abscbnnews/media/2018/news/09/04/20180904-maternity-benefits.jpg?ext=.jpg
Sep 24 2019 nbsp 0183 32 FAILURE Build failed with an exception Esse erro ocorre quando eu modifico alguma coisa no build gradle da pasta quot app quot de alguma aplica 231 227 o do Flutter no Android Studio
Templates are pre-designed files or files that can be utilized for numerous purposes. They can save time and effort by offering a ready-made format and layout for creating various kinds of material. Templates can be used for personal or expert jobs, such as resumes, invites, leaflets, newsletters, reports, discussions, and more.
How To Apply For Maternity Leave In California

How To Milk Your MATERNITY LEAVE In California In 2023 EDD Short

Summary Of California Maternity Leave This Chart Should Ho Flickr

Maternity Leave Application Artofit

Confirmation Of Stay Letter

Maternity Leave Application How To Write Maternity Leave Application

How To Apply For Disability In California

https://pt.stackoverflow.com › questions › há-diferença-de-performance-…
Jun 25 2019 nbsp 0183 32 CROSS APPLY 233 como um cross join em termos do resultado que ele produz mas somente 233 usado com uma fun 231 227 o Com o APPLY um dos inputs 224 direita n 227 o 233

https://pt.stackoverflow.com › questions › macro-de-planilha-de-excel-vb…
Aug 13 2021 nbsp 0183 32 Estou criando uma macro pelo Bot 227 o de Comando ActiveX onde o mesmo ir 225 primeiramente selecionar c 233 lulas espec 237 ficas cada coluna por vez AT2 AT15 BI2 BI15

https://pt.stackoverflow.com › questions
Mar 25 2019 nbsp 0183 32 boa tarde N 227 o tenho muita habilidade com Python estou com algumas d 250 vidas Quem puder me ajudar desde ja agrade 231 o Abri meu arquivo csv no python da seguinte

https://pt.stackoverflow.com › questions › otimização-de-código-r
Sep 14 2018 nbsp 0183 32 Gostaria de saber se algu 233 m tem alguma sugest 227 o para que eu possa otimizar o c 243 digo abaixo A ideia eu retirei desse site Voc 234 tem uma permuta 231 227 o de n cartas por

https://pt.stackoverflow.com › questions › substituir-valor-de-um-datafra…
May 26 2022 nbsp 0183 32 As listas lista original e lista corrigida n 227 o possuem o mesmo comprimento sendo que a lista original possui 18 itens e a lista corrigida possui 20 itens um outro erro que
[desc-11] [desc-12]
[desc-13]