Factor 8 U 3 Completely communications engineering NC
Feb 20 2025 nbsp 0183 32 Communications Earth amp amp Environment Nature Geoscience Nature F1 F2 peskin QFT F1 F2
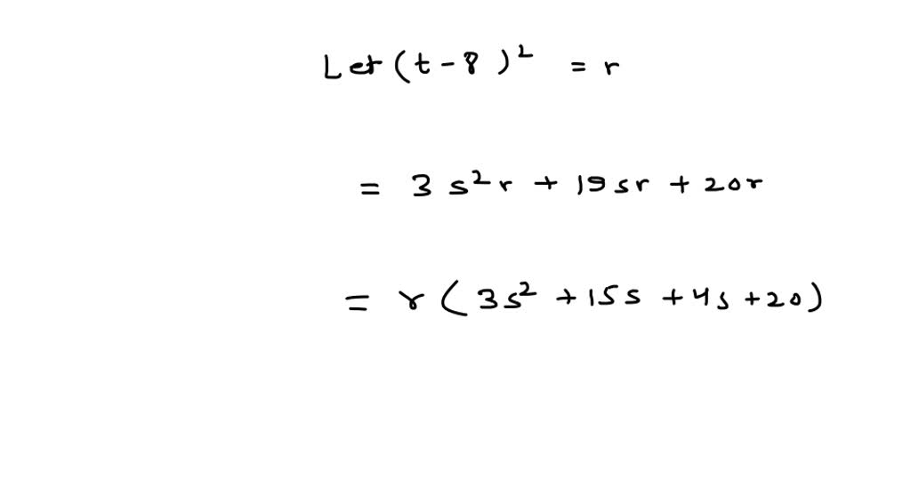
Factor 8 U 3 Completely
Factor 8 U 3 Completely
https://i.ytimg.com/vi/BIlF65I2EwA/maxresdefault.jpg
Dec 15 2024 nbsp 0183 32 TPAMI CV AI 1 TPAMI IEEE
Pre-crafted templates provide a time-saving option for creating a varied range of files and files. These pre-designed formats and layouts can be utilized for numerous individual and expert tasks, consisting of resumes, invites, flyers, newsletters, reports, presentations, and more, simplifying the material development procedure.
Factor 8 U 3 Completely

Solved Factor a 2 2a 2 2 a 2 2a 3 Completely 9to5Science

Factor Completely 1 YouTube

Factor Completely YouTube

MAX FACTOR Lasting Performance Face Foundation Make Up Over 10

Factor Viii Liberal Dictionary

6 Wiki How How vn

https://www.zhihu.com › question › answers › updated
Factor 2007 Norfolk FACTOR bf1systems bf1systems

https://www.zhihu.com › tardis › bd › ans
R factor

https://www.zhihu.com › question
Dec 22 2024 nbsp 0183 32 Nature Nature Cities Nature Cities

https://forum.wordreference.com › threads
Feb 17 2017 nbsp 0183 32 Hi please take a look at the following sentences I ve just made up 1 What features of the car made you want to buy it 2 What factors in of the car made you want to buy

https://www.zhihu.com › question
DeepSeek V3 R1 MoE routed scaling factor
[desc-11] [desc-12]
[desc-13]