Disciplinary Notes Example Download and work through this checklist on taking notes at a disciplinary hearing
Employers can use when conducting a disciplinary or interview meeting It is a step by step process through with helpful tips and a column for notes Keys to interviewing right 1 Dec 23 2024 nbsp 0183 32 Template to help employers keep a disciplinary record for an employee Free to download and use Documents Record of disciplinary action Word version 16KB Record of
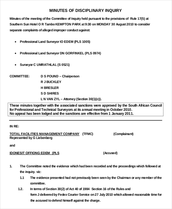
Disciplinary Notes Example
Disciplinary Notes Example
https://images.template.net/314065/Notice-Of-Disciplinary-Hearing-Template-edit-online-1.jpg
Download and work through this checklist on taking notes at a disciplinary hearing Use this checklist to ensure the disciplinary hearing is fair and that there is sufficient information given to
Pre-crafted templates use a time-saving service for producing a varied range of documents and files. These pre-designed formats and designs can be made use of for different individual and expert tasks, consisting of resumes, invitations, leaflets, newsletters, reports, discussions, and more, improving the material development process.
Disciplinary Notes Example

Printable Employee Disciplinary Action Form

Download Disciplinary Action Form 03 Report Template Employee

Investigation Report Template Disciplinary Hearing 6 PROFESSIONAL

Sample Disciplinary Letter Allbusinesstemplates

17 FREE Sample Disciplinary Letter Templates Word Apple Pages

Printable Disciplinary Meeting Notes Template Printable Templates

https://www.sampletemplates.com › sample-meeting...
Nov 15 2024 nbsp 0183 32 In a disciplinary hearing taking note of how the whole meeting went is of the essence Keep reading this article to check our free and ready to use samples of Disciplinary

https://workplacehero.co.uk › blog › how-to-perfect...
Apr 20 2024 nbsp 0183 32 Learn how to perfect note taking in disciplinary meetings to ensure accurate records procedural compliance and unbiased documentation

https://smallbusiness.co.uk
Here is what you need to know about notes for disciplinary or other formal employee meetings Minutes taken at a formal meeting with an employee can constitute important evidence in both

https://www.template.net › editable › disciplinary-note-taking-template
Navigate workplace incidents with Template s customizable Disciplinary Note Taking template This editable tool ensures accurate unbiased incident records streamlining the disciplinary

https://www.hr-inform.co.uk › node
Have you heard about CIPD HR inform Pro Use this checklist to ensure the disciplinary hearing is fair and that there is sufficient information given to the employee
Design a disciplinary note that you can print optionally and use during a disciplinary action Look at the following example Cllick here to open the example disciplinary note in a Word Say goodbye to disorganized notes and hello to smooth and efficient disciplinary meetings with ClickUp amp 39 s Disciplinary Meeting Notes Template Start taking control of your workplace
In this post we re going to show you how to conduct a disciplinary hearing as well as provide some handy written warning templates