Define The Concept Lesson Plan Verkko Planning a lesson Planning for a lesson is a teacher s detailed description of a lesson which is prepared before they start teaching It covers the learning trajectory and course of action for each lesson
Verkko 17 elok 2020 nbsp 0183 32 Definition of a lesson plan An order to understand what a lesson plan is it is important to fully understand the concept of a lesson A lesson is a single Verkko How a lesson fits logically into a sequence of lessons what goes before a particular lesson how a lesson links to and helps students with the following lesson K The
Define The Concept Lesson Plan
Define The Concept Lesson Plan
https://0.academia-photos.com/attachment_thumbnails/60570653/mini_magick20190912-10137-1erotyu.png?1568294380
Verkko Lesson plans allow teachers to take the curriculum and turn it into engaging and meaningful activities for students It also outlines the materials needed and what
Templates are pre-designed documents or files that can be utilized for numerous purposes. They can save effort and time by offering a ready-made format and design for developing various sort of content. Templates can be used for individual or professional projects, such as resumes, invitations, leaflets, newsletters, reports, discussions, and more.
Define The Concept Lesson Plan

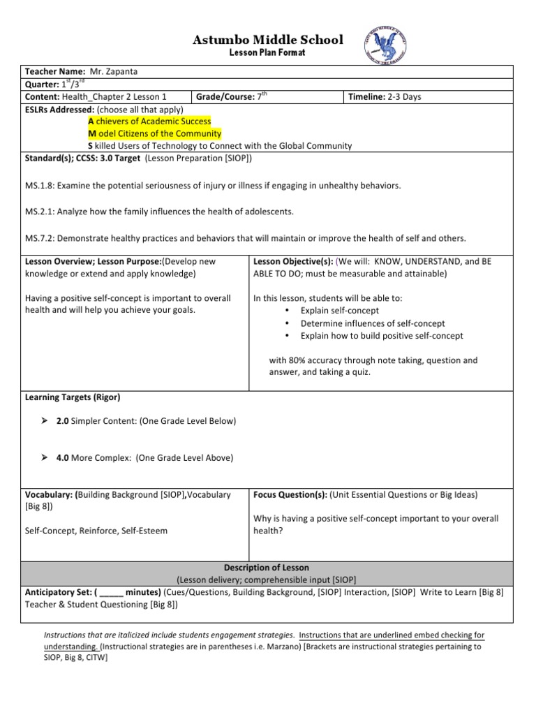
Sample Concept Lesson Plan Employing Cartoons

Tagalog Ng Semi Detailed Lesson Plan Teachcreativa

Even Function Definition Properties Examples Cuemath

Parenting Styles Positive Self Concept Lesson Plan For 9th 12th

Writing Displaying Text Lesson Plan Internet Concept A Teacher S
2 1 Feeling Good About Yourself Self Concept Lesson Plan

https://www.classace.io/answers/define-the-concept-lesson-plan
Verkko A lesson plan refers to a detailed outline or guide that teachers prepare for a particular instructional session or class It typically includes a variety of elements

https://tophat.com/glossary/l/lesson-plan
Verkko A lesson plan is a teacher s guide for facilitating a lesson It typically includes the goal what students need to learn how the goal will be achieved the method of

https://www.oxfordreference.com/display/10.1093/oi/authority...
Verkko Quick Reference A detailed plan usually drawn up by the teacher encapsulating the content and sequence of the lesson A typical lesson plan sets out the aims the
https://www.youtube.com/watch?v=YEnwneDMAxo
Verkko 7 jouluk 2010 nbsp 0183 32 Concepts Example of a Concept Lesson plan Dr Andy Johnson 11K subscribers Subscribe 4 2K views 12 years ago PEDAGOGICAL STRATEGIES This

https://www.englishclub.com/esl-lesson-plans/what-is-a-lesson-plan.php
Verkko A lesson plan is a teacher s plan for teaching a lesson It can exist in the teacher s mind on the back of an envelope or on one or more beautifully formatted sheets of A4
Verkko April 21st 2022 A lesson plan is a blueprint of your lesson that includes learning goals and the educational elements students need to master the learning outcomes Lesson Verkko 1 syysk 2019 nbsp 0183 32 A lesson plan is a teacher s daily guide for what students need to learn how it will be taught and how learning will be measured Lesson plans help teachers
Verkko Lesson plan is a teaching outline of the important point of a lesson arranged in order in which they are to be presented It may include objectives points to be made questions to be asked reference to