Child Custody Schedule Template Jan 28 2022 nbsp 0183 32 Member States need to set their own targets and develop specific strategies to reduce child mortality and monitor their progress In 2020 125 countries have already met the
Nov 5 2024 nbsp 0183 32 Overview Child maltreatment is the abuse and neglect that occurs to children under 18 years of age It includes all types of physical and or emotional ill treatment sexual abuse Mar 14 2007 nbsp 0183 32 What a child experiences during the early years sets a critical foundation for the entire life course This is because early child development ECD including health physical
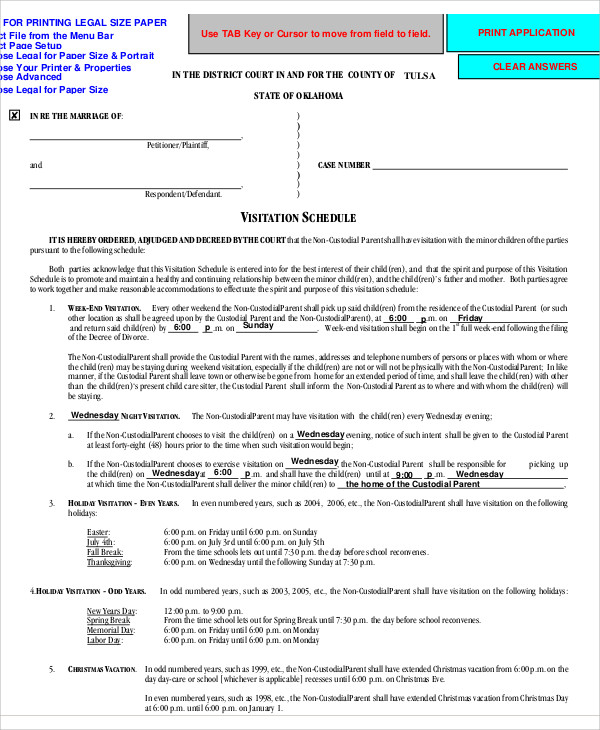
Child Custody Schedule Template
Child Custody Schedule Template
https://www.custodyxchange.com/images/topics/schedules/50-50/2-2-5-5.png
Child growth is internationally recognized as an important indicator of nutritional status and health in populations The percentage of children with a low height for age stunting reflects the
Templates are pre-designed files or files that can be used for different purposes. They can conserve effort and time by offering a ready-made format and layout for creating different kinds of content. Templates can be utilized for personal or professional projects, such as resumes, invites, flyers, newsletters, reports, presentations, and more.
Child Custody Schedule Template

How To Make A Child Custody Calendar Create Print Easily In Minutes

2 2 5 5 Visitation Schedule Examples Parenting Plan Kids Schedule

Printable Custody Schedule Template

Child Custody Calendar Template Awesome Custody Holiday Schedule

Free Joint Custody Agreement Template Master Template

Child Custody Calendar Parenting Plan Custody Co Parenting

https://www.who.int › teams › maternal-newborn-child-adolescent-healt…
Jun 12 2012 nbsp 0183 32 11th Meeting of the Strategic and Technical Advisory Group of Experts STAGE for Maternal Newborn Child and Adolescent Health and Nutrition MNCAHN 10 12 June 2025

https://www.who.int › news-room › articles-detail › call-for-members-to-th…
May 7 2025 nbsp 0183 32 The Strategic and Technical Advisory Group of Experts STAGE on Maternal Newborn Child and Adolescent Health and Nutrition MNCAHN with 30 experts was

https://www.who.int › health-topics › child-growth
Apr 3 2025 nbsp 0183 32 Child wasting refers to a child who is too thin for his or her height and is the result of recent rapid weight loss or the failure to gain weight A child who is moderately or severely

https://www.who.int › publications › item › the-state-of-food-security-and …
Jul 24 2024 nbsp 0183 32 This report is the annual global monitoring report for Sustainable Development Goal SDG 2 targets 2 1 and 2 2 to end hunger food insecurity and malnutrition in all its forms It

https://www.who.int › tools › child-growth-standards › standards › head-c…
Child growth standards Standards Head circumference for age Length height for age Weight for age Weight for length height Body mass index for age BMI for age Arm circumference
[desc-11] [desc-12]
[desc-13]