Bullet Train Schedule Tokyo To Kyoto Web Find your tickets with Klook now and compare prices schedules and journey durations at a glance You can travel from Tokyo to Kyoto by train as fast as 2h 1m with tickets starting from just US 90 59 For most days the earliest departure is 06 00 and the latest is 21 10
Web For instance on the Tokaido Shinkansen line which links Tokyo to Osaka the fast train makes 6 stops the semi fast train makes between 7 and 12 stops and local trains stop at all 17 See the Shinkansen lines section below for more information All Shinkansen trains are covered by the JR Pass Web 15 DEC 23 5 MIN READ GUIDES Share Bullet Train Travel from Tokyo to Kyoto How can one enjoy Japan s countryside s natural beauty and still experience its city centre s hustle and bustle All in a train journey Take an unforgettable ride in one of the fastest train rides ever the Shinkansen from Tokyo to Kyoto
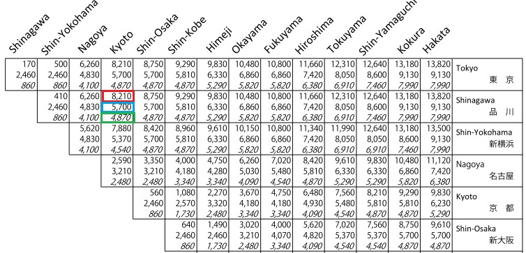
Bullet Train Schedule Tokyo To Kyoto
Bullet Train Schedule Tokyo To Kyoto
https://cdn.cheapoguides.com/wp-content/uploads/sites/2/2017/08/transportation-2608894-1.jpg
Web The Tokaido Shinkansen is a high speed bullet train rail line operated by JR Central between Tokyo and Shin Osaka This is the fastest and most comfortable route to take if you are traveling between Kyoto and other major cities in Japan Traveling east from Kyoto you can reach Nagoya in 37 minutes and Tokyo in 2 hours and 20 minutes
Pre-crafted templates use a time-saving option for developing a diverse range of documents and files. These pre-designed formats and layouts can be utilized for numerous individual and expert jobs, including resumes, invites, flyers, newsletters, reports, discussions, and more, simplifying the content development process.
Bullet Train Schedule Tokyo To Kyoto

JR Rail Review Shinkansen Hikari First Class Tokyo Kyoto Grab A Mile

Tokyo To Kyoto The Fastest Cheapest And Best Ways The Tokyo Tourist

The Shinkansen Japan s Bullet Train Nippon

Shinagawa Take A Shinkansen Bullet Train To Kyoto Tokyo

Shinkansen Bullet Train Tokyo To Kyoto Amazing Tokyo To Kyoto

Ways To Travel From Tokyo To Osaka QUESTION JAPAN

https://journeycompass.com/tokyo-kyoto-bullet-train-guide
Web Jan 1 2024 nbsp 0183 32 Taking the shinkansen is a fast convenient and cost effective way to travel between Tokyo and Kyoto In short here are my answers to some of the most common questions Which bullet train train should I take The Hikari shinkansen is the best train to take if you have a JR Pass Otherwise the Nozomi train is the fastest

https://www.japanesetrains.com/tokyo-to-kyoto
Web how often do bullet trains run from tokyo to kyoto One of the most popular connections in Japan Tokyo to Kyoto bullet train departs every half an hour starting from 6 am The train schedule is very impressive with up to 31 daily departures you can check it

https://rail.ninja/route/tokyo-to-kyoto
Web The duration of the train journey from Tokyo to Kyoto is typically around 2 hours and 20 minutes for the fastest shinkansen bullet train Travel times may vary depending on the specific train service and any stops along the route

https://japantravel.navitime.com/en/area/jp/...
Web Tokyo To Kyoto Opposite Direction JR Tokaido Shinkansen Timetable Required time Kodama 3h 28min Hikari 2h 30min Nozomi 2h 7min Filter Trains All Kodama Hikari Nozomi 6 00 06 00 08 08 2h 8min Nozomi 1 To Hakata Shinkansen amp Express Ticket 06 15 08 24 2h 9min Nozomi 3 To Hakata

https://www.japanesetrain.com/kyoto-to-tokyo.html
Web Mar 24 2023 nbsp 0183 32 All Shinkansen Kyoto to Tokyo bullet trains are equipped with high end amenities including cozy seats big luggage space and comfortable legroom Additionally the timetable has 31 daily departures which is a great plus as it
Web Feb 24 2024 nbsp 0183 32 Experience seamless travel with the Tokyo to Kyoto Shinkansen Discover routes timetables and ticket info for a swift and scenic journey to Kyoto Akasaka Azabu Web The bullet train is the fastest and most convenient way to travel between Tokyo and Kyoto The Tokaido Shinkansen line connects the two cities in a mere two and a half hours making it the ideal way to explore the two cities in one day The journey begins at Tokyo Station the largest and busiest station in Japan
Web 2 5 h 165 around 14 000 multiple trains per hour Covered by Japan Rail Pass Tokyo and Kyoto are connected with each other by the JR Tokaido Shinkansen Nozomi trains require about 140 minutes to reach Kyoto from Tokyo Hikari trains about 160 minutes and Kodama trains about four hours