4 1 N 4 2 N 4 3 N A a 4 oared racing shell or its crew b a 4 cylinder engine or automobile four adjective four pronoun plural in construction
Aug 11 2025 nbsp 0183 32 A West Arabic numeral ultimately from Indic numerals compare Devanagari 4 a cursive form of four lines to represent the number four arranged in the shape of a cross Discover the fascinating world of the number 4 Explore its meanings facts religious significance angel number interpretations and its role in arts and literature
4 1 N 4 2 N 4 3 N
4 1 N 4 2 N 4 3 N
https://i.ytimg.com/vi/Nop746tkRsc/maxresdefault.jpg
Your guide to the number 4 an even composite number composed of a single prime multiplied by itself Mathematical info prime factorization fun facts and numerical data for STEM education
Templates are pre-designed files or files that can be utilized for numerous purposes. They can conserve time and effort by providing a ready-made format and design for creating different sort of content. Templates can be utilized for personal or professional tasks, such as resumes, invitations, flyers, newsletters, reports, presentations, and more.
4 1 N 4 2 N 4 3 N

Induction Inequality Proof 3 n Is Greater Than Or Equal To 2n 1

Consider The Series SUM 10 n n 1 4 2n 1 Evaluate L What Does The

Calcul De Sommes Infinies Partir De La S rie G om trique YouTube

Find The Sum To N Terms 1 2 2 2 2 3 3 2 4 YouTube

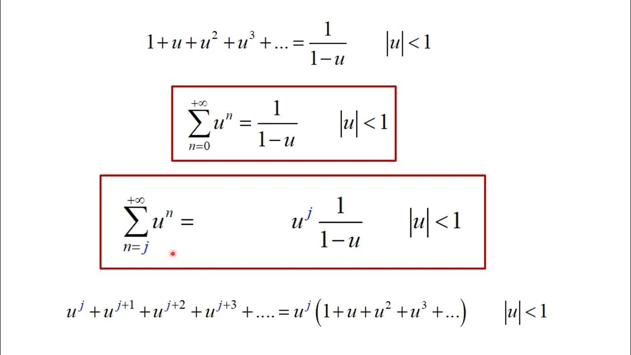
Find The Sum Of N Terms Of The Following Series 4 1 n 4 2 n 4 3 n

Find The Values Of P For Which The Series Converges 1 n ln N p

https://www.youtube.com › watch
Learn to recognize and understand Number 4 Learn to count up to and down from four Created by teachers learn how to show 4 in a ten frame Learn to draw 4

https://www.maccabi4u.co.il

https://getcalc.com
In the scientific analysis or real world experiments 4 is used to find the total number of possible results or outcomes in the experiment having 4 objects numbers letters words or symbols

https://www.thefreedictionary.com
Define 4 4 synonyms 4 pronunciation 4 translation English dictionary definition of 4 Noun 1 4 the cardinal number that is the sum of three and one IV Little Joe quadruplet quartet

https://www.newworldencyclopedia.org › entry
Some buildings skip floor 4 or replace the number with the letter quot F quot particularly in heavily Asian areas In the NATO phonetic alphabet the digit 4 is called quot fower quot
[desc-11] [desc-12]
[desc-13]