3 5 X 2 9 Answer 4 days ago nbsp 0183 32 2025 DIY
2011 1 3 1 quot Alt quot quot 4 quot
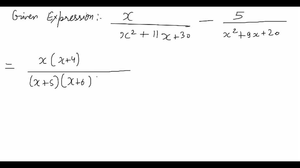
3 5 X 2 9 Answer
3 5 X 2 9 Answer
https://www.aswoodturns.com/wp-content/uploads/2022/03/Various-Egg-3_5x2_25-2022-Pin.png
2011 1
Pre-crafted templates provide a time-saving option for producing a varied variety of files and files. These pre-designed formats and designs can be utilized for different personal and expert jobs, including resumes, invites, flyers, newsletters, reports, discussions, and more, simplifying the material development process.
3 5 X 2 9 Answer

Pavillon Med Gardiner Rund 3 5 X 2 7 Cm Antracitgr Hjemshop dk

3 5 X 2 Cards Jot Dot

SOLVED limx 2 x 3 6 X 2 11 X 6 x 2 6 X 8 Ans 1 2

Etiquetas Adhesivas Con Nombre 300 Etiquetas Lisas 1 Rollo 5 Colores

Cloudflare Se Hace Interplanetario Presentamos La Puerta De Enlace A
2x3 5x2 UV4 7 2

https://www.zhihu.com › tardis › zm › art
4 days ago nbsp 0183 32 1080P 2K 4K RTX 5050 25 TechPowerUp

https://zhidao.baidu.com › question
4 3 800 215 600 1024 215 768 17 CRT 15 LCD 1280 215 960 1400 215 1050 20 1600 215 1200 20 21 22 LCD 1920 215 1440 2048 215 1536

https://www.zhihu.com › tardis › bd › art
3 days ago nbsp 0183 32 CPU CPU

https://www.zhihu.com › tardis › zm › art
3 days ago nbsp 0183 32 3 iPhone iPhone

https://zhidao.baidu.com › question
Jan 15 2013 nbsp 0183 32 3 3 3 3 215 2 215 1 6 1 n 0 0 1 183 Christian Kramp 1760 1826
[desc-11] [desc-12]
[desc-13]